绝缘体“叠加”出超导新发现:电子向列性在超导界面上演“先导剧”
近日,西湖大学理学院吴颉研究团队携手浙江大学谢燕武团队,在物理学领域取得了突破性进展。他们运用自主研发的高精度角分辨电阻(ARR)测量技术,在LaAlO₃/KTaO₃(111)(简称LAO/KTO)超导界面中,深入探索并首次揭示了超导态及其周边量子态中电子向列性的演变规律。这一重要发现已在顶级物理学期刊《Physical Review X》上发表。
在氧化物异质结界面超导体系中,当两种特定的绝缘体材料被精心叠加时,它们的交界区域会展现出令人惊奇的导电性,甚至达到超导状态。这个超导区域极其微小,厚度仅为4纳米,大约相当于10层原子的堆叠。当超导现象发生时,区域内数以万亿计的电子会两两配对,形成自由的电子对,在材料中无阻碍地穿梭。
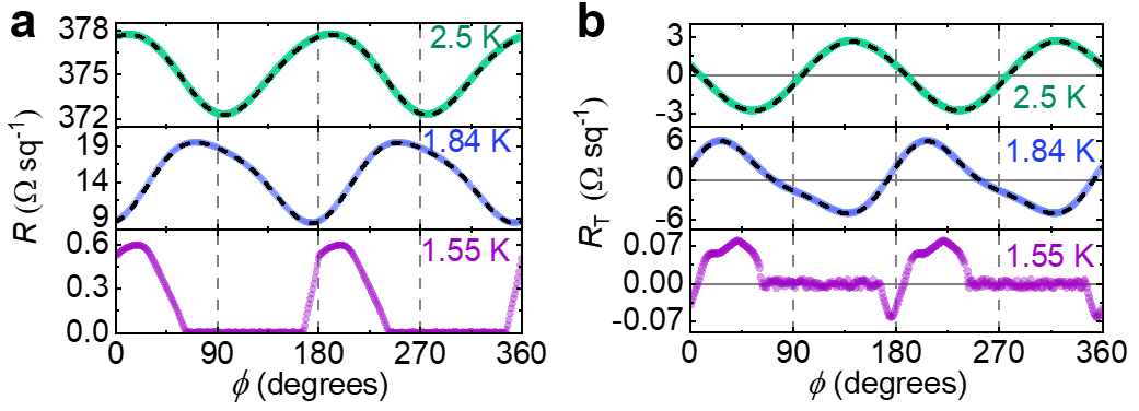
吴颉与谢燕武团队的研究,首次在这个神秘的二维界面上“捕捉”到了超导态即将到来的瞬间,揭示了界面上的微妙变化。他们发现,在超导临界温度附近,LAO/KTO界面的电阻降低并非均匀发生在所有方向上,而是首先在某一特定方向上显著下降,预示着超导将在这个方向上率先涌现,随后逐渐扩展到其他方向。

随着温度的进一步降低,接近超导临界点时,电子们仿佛获得了某种“集体意识”,开始沿某一方向成对凝聚。这种自发选择特定方向并打破原有状态的行为,被称为电子向列性。研究团队通过精心设计的实验,成功捕捉到了这一现象。

研究团队还在LAO/KTO的量子金属态中发现了电子向列性的存在。通过施加垂直于界面的磁场,超导态被有效抑制,但界面电阻却随着温度的降低逐渐趋于一个非零的有限值,形成了所谓的量子金属态。这一特殊状态的形成机制目前仍是物理学界的研究热点,而吴颉团队的新发现为理解这一现象提供了新的线索。
在量子金属态中,电子向列性依然存在,仿佛超导的“影子”仍然萦绕在界面上。这一发现不仅揭示了超导态与量子金属态之间可能存在的深刻联系,也为探索高温超导等前沿科学问题提供了新的视角和思路。
相关阅读
-
ipadmini2现在还能用吗,苹果ipadmini2现在还能用吗
2023年ipadmini2还能用吗?根据目前的技术发展趋势来看,2023年的iPad mini 2可能已经过时,无法满足最新的软件和应用程序的要求。随着时间的推移,新的操作系统和应用程序通常需要更高的处理能力和更大的内存。因此,尽管iPa
-
华为p20pro,华为p20pro上市时间和价格
华为P20 Pro值得入手吗?你好,华为p20pro是一款非常不错的手机。如果你没有以下问题,那是真心非常建议你立即下手购买的了。1,如果你很穷,只买得起红米、小米,那么,很显然,你不值得入手华为p20rpo的了。2,如果你就是看不惯国产手
-
越南计划成为半导体领先国家,雄心壮志与挑战并存
随着全球半导体市场的不断扩大和技术的飞速发展,越南作为一个具有潜力和优势的新兴经济体,正计划成为半导体领域的领先国家,这一雄心壮志的背后,既体现了越南政府对半导体产业重要性的认识,也反映了该国在半导体领域的独特优势和发展潜力,本文将探讨越南
-
深度解析,三星I9100——一部经典的智能手机传奇
亲爱的读者,你是否曾对一款手机的历史和影响力感到好奇?我们要聊的是那个曾经风靡全球,引领智能手机潮流的明星——三星Galaxy S II,型号为I9100,这款手机就像一部活生生的历史教科书,展示了科技与设计如何完美融合,让我们一起走进它的
-
揭秘荣耀,从创新到引领,华为荣耀的崛起与未来趋势分析
在科技飞速发展的时代,华为荣耀作为华为集团的重要子品牌,始终以其独特的技术创新和产品魅力独树一帜,成立于2013年,荣耀凭借其对互联网思维的敏锐洞察,迅速从众多智能手机品牌中脱颖而出,成为全球年轻用户喜爱的品牌之一,我们就带你深入探究荣耀的
-
深度探索,联想A370e手机,实用与创新的完美结合
在这个科技日新月异的时代,一款优质的手机不仅是我们日常生活中的得力助手,更是我们了解科技魅力的窗口,我们将聚焦联想A370e,这款以实用性和创新性并重的智能手机,带你走进它的世界,感受其独特的魅力。联想A370e的外观设计:简约而不简单联想

