山西2025年数学高考真题(网传版 全国二卷+新高考II卷)_高中学习_高考升学
(网络收集)2025年全国二卷数学高考真题文字版
2,8,14,16,20平均数为 A.D.
5.
,
,
,
,
A.
B.
C.
D.
6. 抛物线
焦点
,
,过
作
准线的垂线,垂足为
。若
,则
A.
B.
C.
D.
7.
为等差数列
前
项和,
,
,
A.
B.
C.
D.
8.
,
,
A.
B.
C.
D.
9.
为等比数列
前
项和,
为
公比
,则 A.
B.
C.
D.
10.
定义在
上奇函数,x>0时,
,则 A.
B. 当x<0时,
C.
当且仅当
D.
是
极大值点 11. 双曲线
左、右焦点为
,左、右顶点为
。以
为直径的圆与
的一条渐近线交于
,且
,则 A.
B.
C.
离心率为
D. 当
时,四边形
面积为![]()
12.
,
,
,则
____
13.
是
极值点,则
____
14.一个底面半径为
,高为
的封闭圆柱形容器,内有两个半径相等的铁球,则铁球半径的最大值为____
。
15.
,
(1) 求
。
(2)
,求
值域和单调区间。
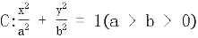
16.椭圆
的离心率为
,长轴长为
。
(1) 求
的方程。
(2) 过点
的直线
与
交于
,
为坐标原点,若
,求
。
17.如图,四边形
中,
,
,
为
中点,
在
上,
,
,
。将四边形
沿
翻折至四边形
,使得面
与面
所成的二面角为
。

(1) 证明:
平面
。
(2) 求面
与面
所成二面角的正弦值。
18.
,
。
(1) 证明:
在
存在唯一极值点和唯一零点。
(2) 设
为
在
的极值点和零点。
(i)
,证明:
在
单减
(ii) 比较
与
的大小,并证明。
19.甲、乙乒乓球练习,每个球胜者得
分,负者得
分,设每个球甲胜概率为
(
),乙胜概率为
,
,且各球胜负独立。对正整数
,记
为打完
个球后甲比乙至少多得
分的概率,
为打完
个球后乙比甲至少多得
分的概率。
(1) 求
(用
表示)。
(2) 若
,求
。
(3) 证明:对任意正整数
,
。(2)求面
与面
所成二面角的正弦值.
相关阅读
-
常州各学校升学率排行?2024年常州初中升学率排名
2024年常州初中升学率排名常州公办初中排名20强常州飞龙中学历年升学率常州武进小学排名前十常州市兰陵中学升学率一、2024年常州初中升学率排名1.正衡中学,升学率大约是95%以上2.常州外国语,升学率大约在9
-
东莞的高考本科升学率?东莞公办高中录取率有多少
2024东莞高考重本率东莞公办高中录取率有多少东莞中学松山湖学校 2024年高考喜东莞济川中学2024高考升学率东莞一中升学率排名一、2024东莞高考重本率重本录取率平均达86%。!今年重本率更是高达91.87
-
基础教育指的是哪个阶段 基础教育指什么?包括高中教育吗?
有人也把高中阶段的教育归入基础教育范畴,但是目前中国还没有普及这种类型的教育,所以,在事实上高中阶段的教育还不是基础教育。随着中国发展水平的提高,预计到2020年,会基本普及高中阶段教育。确立关于基础教育的这样一种价值观,是促进基础教育由“
-
首都师范大学HND留学开设了哪些留学专业?
留学生就业问题是很多有意出国留学的学生最关心的问题之一。留学生就业率与其所选专业有着密切的关系。因此很多中国学生在选择国内出国留学院校时,都非常关心该校所开设的专业有哪些。首都师范大学HND留学所开设的专业均为近年来就业前景看好,而且备受世
-
家庭教育促进法的意义及影响 回复:家庭教育对孩子的成长起到哪些作用
对此,家庭教育促进法专门作出回应。家庭教育促进法第三条规定,家庭教育以立德树人为根本任务,培育和践行社会主义核心价值观,弘扬中华民族优秀传统文化、革命文化、社会主义先进文化,促进未成年人健康成长。家长要督促孩子按时就寝,确保充足睡眠;适度安
-
基础教育课程 纲要试行是哪一年(最新小学数学课程标准叫什么名字)
反映了新课程标准,对教学功能从传统的过于强调知识的传授,转变为既要重视知识与技能的传授,又要重视过程与方法,情感态度与价值观的培养。《课程标准》是根据《基础教育课程改革纲要(试行)》的精神,结合中小学生的身心特点,对不同阶段学生制定的关于体

