考生:不想再帮李华写信了 告别李华时代_高中学习_高考升学
李华作为高考英语作文中延续30年的虚拟人物,其存在已成为中国考生的集体记忆符号,但近年来考生对其频繁出现的复杂情绪逐渐显现。“李华”再度现身高考英语作文,考生:不想再帮李华写信。

考生:不想再帮李华写信了怎么回事
一、考生抗拒的根源
角色设定的荒诞性
李华被设定为1977年出生,2025年已48岁,却仍以“高三学生”身份存在,甚至在不同中学频繁转学。这种“永不毕业”的奇幻设定让考生感到脱离现实,戏称“建议他考成人自考”。部分考生认为其“需要代笔写信”的学渣属性与年龄形成强烈反差,质疑角色的可信度。30任务模式的固化与异化
传统代笔式写作(如建议信、邀请函)已被考生视为机械训练,而近年考题中李华的身份扩展至国际倡议者、校报编辑甚至“杠精”,要求考生处理更复杂的现实议题(如联合国青少年倡议、教授分组矛盾),开放性增强的同时也引发“过度介入他人事务”的吐槽。有考生直言:“教授的事你少管!
情感投射的割裂
李华承载着考生对青春的记忆,但长期高频出现导致情感疲劳。内蒙古考生在最后一次模考中用中文写信告别李华,获得满分评价,这种“浪漫告别”成为情感宣泄的出口。广州考生考后喊话“李华肯定考不上大学”,则将应试压力转化为黑色幽默。
二、转型期的集体告别
考生通过多种形式与李华“和解”:
戏谑解构:社交媒体出现“李华虚荣论”(“什么都不会还交外国朋友”)、“相亲需求”(“帮介绍帅哥”)等二次创作,消解严肃性。
仪式化终结:考生在作文结尾添加“Yours sincerely”签名时,将之视为“青春落款”。兰州考生直接宣告“再也不会帮你写信”,完成心理断离。
未来预言:上海交通大学发起“告别李华”活动,暗示高等教育阶段对其使命的终结。而“大学四六级还要写信”的调侃,折射对评价体系连贯性的担忧。
李华的持续存在,既是标准化考试传统的缩影,也是观察教育理念转型的窗口。考生“不想再帮李华写信”的呼声,实质是对评价模式创新、学习自主权提升的期待。这个虚拟人物终将随教育改革渐行渐远,但其承载的集体记忆,仍会在互联网亚文化中持续发酵。
北京高考英语作文题目是什么
假设你是红星中学高三学生李华。联合国正面向全球青少年开展倡议征集活动。你的外国好友Jim打算参加,为此发来邮件,就倡议内容询问你的建议。请你用英文给他回复,内容包括:
1. 提出的建议;
2. 建议的理由。
提示词:倡议 proposal
注意:
1.词数100左右;
2.开头和结尾已给出,不计入总词数。
(网络收集)2025年天津数学高考真题文字版
一、选择题:在每小题给出的四个选项中,只有一项是符合题目要求的.
1.已知全集
,集合
,
,则
A.![]()
B.![]()
C.![]()
D.![]()
2.设
,则“
”是“
”的 ( )
A.充分不必要条件
B.必要而不充分条件
C.充要条件
D.既不充分也不必要条件
3. 已知函数
的图象如下,则
的解析式可能为 ( )

A.![]()
B.
C.![]()
D.![]()
4.若
为直线,
为两个平面,则下列结论中正确的是( )
A.若
,
,则![]()
B.若
,
,则![]()
C.若
,
,则![]()
D.若
,
,则![]()
5.下列说法中错误的是( )
A.若
,则![]()
B.若
,
,则![]()
C.
越接近
,相关性越强
D.
越接近
,相关性越弱
6.
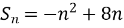
,则
的前
项和为( )
A.112
B.48
C.80
D.64
7.函数
的零点所在区间是( )
A.![]()
B.![]()
C.![]()
D.![]()
8.
,在
上单调递增,且
为它的一条对称轴,
是它的一个对称中心,当
时,
的最小值为( )
A.![]()
B.![]()
C.
D.![]()
9.双曲线
的左、右焦点分别为
,以右焦点
为焦点的抛物线
与双曲线在第一象限的交点为
,若
,则双曲线的离心率
( )
A.![]()
B.![]()
C.![]()
D.![]()
二、填空题:本大题共6个小题,每小题5分,共30分.
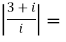
10.已知
是虚数单位,则
______.
11.在
的展开式中,
项的系数为______.
12.
与
轴交于点
,与
轴交于点
,与圆
交于
两点,
,则
______.
13.小桐操场跑圈,一周2次,一次5圈或6圈。第一次跑5圈或6圈的概率均为0.5,若第一次跑5圈,则第二次跑5圈的概率为0.4,6圈的概率为0.6;若第一次跑6圈,则第二次跑5圈的概率为0.6,4圈的概率为0.4。小桐一周跑11圈的概率为__________;若一周至少跑11圈为运动量达标,则连续跑4周,记合格周数为
,则期望
__________。
14.
中,
为
边中点,
,
,
,则
__________;若
且
,则
__________。
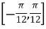
15.若
,对
,均有
恒成立,则
的最小值为__________。
三、解答题:本大题共5小题,共75分。解答应写出文字说明,证明过程或演算步骤。
16.(本题满分14分)在
中,角
的对边分别为
。已知
,
,
。(I)求
的值;(II)求
的值;(III)求
的值。
17.(本题满分15分)正方体
的棱长为4,
分别为
中点,
。(I)求证:
平面
;(II)求平面
与平面
夹角的余弦值;(III)求三棱锥
的体积。
18.(本题满分15分) 已知椭圆
的左焦点为
,右顶点为
,
为
上一点,且直线
的斜率为
,
的面积为
,离心率为
。 (I)求椭圆的方程; (II)过点
的直线与椭圆有唯一交点
(异于点
),求证:
平分
。
19.(本题满分15分)
是等差数列,
是等比数列,
,
,
。 (I)求
,
的通项公式; (II)
有
,
。 (i) 求证:
,均有
; (ii) 求
所有元素之和。
20.(本题满分16分) 已知函数
。 (I)
时,求
在点
处的切线方程; (II)
有
个零点
,且
。 (i) 求
的取值范围; (ii) 证明:
。
相关阅读
-
常州各学校升学率排行?2024年常州初中升学率排名
2024年常州初中升学率排名常州公办初中排名20强常州飞龙中学历年升学率常州武进小学排名前十常州市兰陵中学升学率一、2024年常州初中升学率排名1.正衡中学,升学率大约是95%以上2.常州外国语,升学率大约在9
-
东莞的高考本科升学率?东莞公办高中录取率有多少
2024东莞高考重本率东莞公办高中录取率有多少东莞中学松山湖学校 2024年高考喜东莞济川中学2024高考升学率东莞一中升学率排名一、2024东莞高考重本率重本录取率平均达86%。!今年重本率更是高达91.87
-
福建闽北卫生学校2025年学费多少?贵吗?
我们大部分时候是追求完美的结局,但每件事情都是有缺陷的,在工作上的无奈,在生活上的纠结,都是我们要接受的。一个人的精力是有限的,只有平衡好他们之间的关系,才能够让你获得更多的收获,所以你要扮演好自己的角色。那么,下面一起来了解下福建闽北卫生
-
家庭教育促进法的意义及影响 回复:家庭教育对孩子的成长起到哪些作用
对此,家庭教育促进法专门作出回应。家庭教育促进法第三条规定,家庭教育以立德树人为根本任务,培育和践行社会主义核心价值观,弘扬中华民族优秀传统文化、革命文化、社会主义先进文化,促进未成年人健康成长。家长要督促孩子按时就寝,确保充足睡眠;适度安
-
北京航空航天大学2+2留学毕业生在就业方面有哪些优势?
近几年,留学生就业形势也非常严峻,因此,很多就业问题是准备申请北京航空航天大学2+2留学的学生家长非常关心的问题之一。留学小编介绍,北京航空航天大学2+2留学毕业生在就业方面具有以下几方面的优势:北京航空航天大学2+2留学毕业生在就业方面有
-
基础教育指的是哪个阶段 基础教育指什么?包括高中教育吗?
有人也把高中阶段的教育归入基础教育范畴,但是目前中国还没有普及这种类型的教育,所以,在事实上高中阶段的教育还不是基础教育。随着中国发展水平的提高,预计到2020年,会基本普及高中阶段教育。确立关于基础教育的这样一种价值观,是促进基础教育由“

